基本信息:
中文名稱 三(三氟乙酸)硼烷
中文別名 四(三氟乙酸)硼烷;
英文名稱 bis[(2,2,2-trifluoroacetyl)oxy]boranyl 2,2,2-trifluoroacetate
英文別名 Boron tris(trifluoroacetate);EINECS 206-507-5;BTFA Tris[trifluoroacetoxy]borane;
CAS號 350-70-9
合成路線:
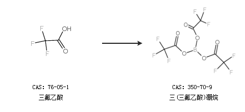
1.通過三氟乙酸合成三(三氟乙酸)硼烷

2.通過三甲基三氟乙酸和四氟硼酸重氮苯鹽合成三(三氟乙酸)硼烷,收率約78%;

中華試劑網提醒 合成路線僅供參考