基本信息:
中文名稱 4-碘-2,6-二硝基甲苯
英文名稱 4-IODO-2,6-DINITROTOLUENE
英文別名 4-Chlor-2,6-dinitro-toluol;5-chloro-2-methyl-1,3-dinitro-benzene;4-chloro-2,6-dinitro-toluene;
CAS號(hào) 35572-79-3
合成路線:
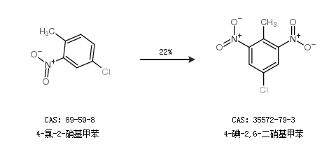
1.通過4-氯-2-硝基甲苯合成4-碘-2,6-二硝基甲苯,收率約22%;

2.通過2,6-二硝基甲苯合成4-碘-2,6-二硝基甲苯,收率約71%;

中華試劑網(wǎng)提醒 合成路線僅供參考