基本信息:
中文名稱 N-Cbz-L-谷氨酸-5-乙酯
中文別名 N-芐氧羰基-L-谷氨酸-5-乙酯;
英文名稱 N-Cbz-L-glutamic acid 5-ethyl ester
英文別名 Cbz-L-Glu(ET)-OH;N-Benzyloxycarbonyl-L-glutaminsaeure-5-aethylester;(S)-2-(((Benzyloxy)carbonyl)amino)-5-ethoxy-5-oxopentanoic acid;(4S)-4-benzyloxycarbonylamino-4-carbonylpentanoic acid ethyl ester;Z-GLU(OET)-OH;Z-L-GLU(ET)-OH;Cbz-Glu(OEt)-OH;(S)-2-(benzyloxycarbonylamino)-5-ethoxy-5-oxopentanoic acid;N-benzyloxycarbonyl-L-glutamic acid-5-ethyl ester;
CAS號 35726-62-6
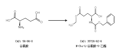
合成路線:
1.通過L-谷氨酸5乙脂和氯甲酸芐酯合成N-Cbz-L-谷氨酸-5-乙酯

2.通過谷氨酸合成N-Cbz-L-谷氨酸-5-乙酯

中華試劑網(wǎng)提醒 合成路線僅供參考