基本信息:
中文名稱 2,4-二氧代-4-(2-噻吩)丁酸乙酯
英文名稱 ethyl 2,4-dioxo-4-thiophen-2-ylbutanoate
英文別名 2,4-Dioxo-4-thiophen-2-yl-butyric acid ethyl ester;2,4-dioxo-4-[2]thienyl-butyric acid ethyl ester;ethyl 2,4-dioxo-4-(2-thienyl)butyrate;ethyl 2-thenoylpyruvate;ethyl 2,4-dioxo-4-(2-thienyl)butanoate;ethyl 2,4-dioxo-4-(thiophen-2-yl)butanoate;ethyl 2-thionylpyruvate;Ethyla,g-dioxo-2-thiophenebutanoate;
CAS號(hào) 36983-36-5
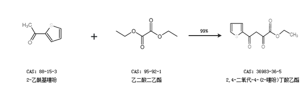
合成路線:
1.通過(guò)2-乙?;绶院鸵叶岫阴ズ铣?,4-二氧代-4-(2-噻吩)丁酸乙酯,收率約99%;

2.通過(guò)2-乙?;?5-溴噻吩合成2,4-二氧代-4-(2-噻吩)丁酸乙酯

中華試劑網(wǎng)提醒 合成路線僅供參考