基本信息:
中文名稱 順式-1,2,3,4-環(huán)戊烷四羧酸
中文別名 順,順,順-1,2,3,4-環(huán)戊烷四羧酸;
英文名稱 Cis,Cis,Cis-1,2,3,4-Cyclopentanetetracarboxylic Acid
英文別名 cis,cis,cis,cis-1,2,3,4-Cyclopentanetetracarboxylic acid;Cyclopentane-1,2,3,4-tetracarboxylic acid;cis,cis,cis-1,2,3,4-Cyclopentanetetracarboxylic acid;1,2,3,4-CYCLOPENTANETETRACARBOXYLIC ACID;
CAS號 3786-91-2
合成路線:
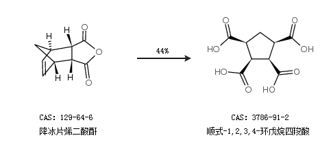
1.通過降冰片烯二酸酐合成順式-1,2,3,4-環(huán)戊烷四羧酸,收率約44%;

2.通過順-5-降冰片烯-endo-2,3-二羧酸合成順式-1,2,3,4-環(huán)戊烷四羧酸

中華試劑網(wǎng)提醒 合成路線僅供參考