基本信息:
中文名稱 (乙基乙烯基磷酰基)-苯
英文名稱 [ethenyl(ethyl)phosphoryl]benzene
英文別名 Phosphine oxide,ethenylethylphenyl;(ETHYL-VINYL-PHOSPHINOYL)-BENZENE;Aethyl-phenyl-vinyl-phosphinoxid;Ethylphenylvinylphosphinoxid;
CAS號 38318-56-8
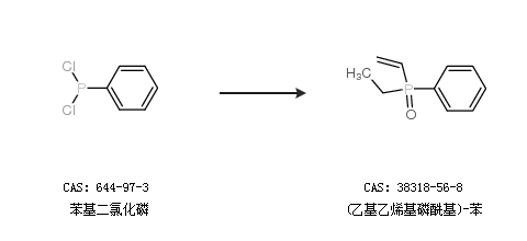
合成路線:
1.通過苯基二氯化磷合成(乙基乙烯基磷?;?-苯

中華試劑網提醒 合成路線僅供參考