基本信息:
中文名稱 2-氨基苯乙烯
英文名稱 2-ethenylaniline
英文別名 o-amino-styrene;2-vinylaniline;ortho amino vinyl benzene;aminophenylethylene;Benzenamine,2-ethenyl;2-aminostyrene;2-Vinylbenzenamine;ortho-vinylaniline;
CAS號(hào) 3867-18-3
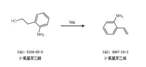
合成路線:
1.通過2-溴苯乙烯合成2-氨基苯乙烯,收率約82%;

2.通過2-氨基苯乙醇合成2-氨基苯乙烯,收率約78%;

中華試劑網(wǎng)提醒 合成路線僅供參考