基本信息:
中文名稱 2-(1-哌啶基)苯胺
中文別名 4-(三氟甲基硫代)苯胺;2-哌啶苯胺;
英文名稱 2-(1-Piperidino)aniline
英文別名 2-piperidin-1-ylaniline;
CAS號(hào) 39643-31-7
合成路線:
1.通過(guò)1-(2-硝基苯基)哌啶合成2-(1-哌啶基)苯胺,收率約88%;

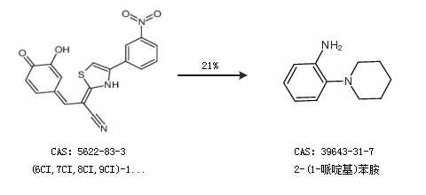
2.通過(guò)(6CI,7CI,8CI,9CI)-1,2,3,4-四氫吡啶并[1,2-a]苯并咪唑合成2-(1-哌啶基)苯胺,收率約21%;

中華試劑網(wǎng)提醒 合成路線僅供參考