基本信息:
中文名稱 地爾硫卓
中文別名 (2-氯-4-氟苯氧基)乙酸;
英文名稱 2-(2-chloro-4-fluorophenoxy)acetic acid
英文別名 (2-Chlor-4-fluor-phenoxy)-essigsaeure;(2-chloro-4-fluoro-phenoxy)-acetic acid;acetic acid,2-(2-chloro-4-fluorophenoxy);[(2-chloro-4-fluorophenyl)oxy]acetic acid;
CAS號(hào) 399-41-7
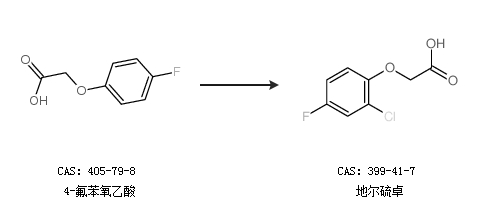
合成路線:
1.通過(guò)2-氯-4-氟苯酚和溴代乙酸乙酯合成地爾硫卓,收率約70%;

2.通過(guò)4-氟苯氧乙酸合成地爾硫卓

中華試劑網(wǎng)提醒 合成路線僅供參考