基本信息:
中文名稱 黃豆黃苷
中文別名 黃豆黃甙;黃豆黃甙;黃豆黃甙,大豆黃苷;
英文名稱 3-(4-hydroxyphenyl)-6-methoxy-7-[(2S,3R,4S,5S,6R)-3,4,5-trihydroxy-6-(hydroxymethyl)oxan-2-yl]oxychromen-4-one
英文別名 Glycitein 7-O-glucoside;Glycitein 7-O-|A-glucoside;Glycitein 7-O-β-D-glucoside;4H-1-Benzopyran-4-one;BIDD:ER0468;Glycitin;Glycitein-7-|A-O-glucoside;4'',7-dihydroxy-6-methoxyisoflavone-7-d-glucoside;
CAS號 40246-10-4
合成路線:
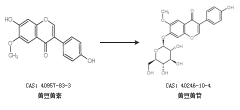
1.通過黃豆黃素和D-(+)-葡萄糖合成黃豆黃苷,收率約6%;

2.通過黃豆黃素合成黃豆黃苷

中華試劑網(wǎng)提醒 合成路線僅供參考