基本信息:
中文名稱 4-(2-氯-1,1,2-三氟乙氧基)苯胺
中文別名 4-(2-氯-1,1,2-三氟乙氧基)-苯胺;
英文名稱 4-(2-chloro-1,1,2-trifluoroethoxy)aniline
英文別名 4-(1,1,2-trifluoro-2-chloroethoxy)aniline;4-(2-Chlor-1,1,2-trifluor-aethoxy)-anilin;4-(2-chloro-1,1,2-trifluoro-ethoxy)-aniline;4-(2-chloro-1,1,2-trifluoroethoxy)benzeneamine;4-(2-Chloro-1,1,2-trifluoro-ethoxy)-phenylamine;
CAS號 403-61-2
合成路線:
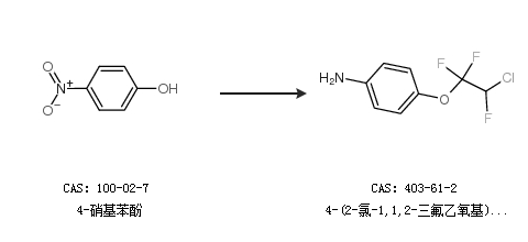
1.通過4-硝基苯酚合成4-(2-氯-1,1,2-三氟乙氧基)苯胺

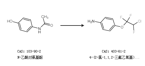
2.通過N-乙酰對氨基酚合成4-(2-氯-1,1,2-三氟乙氧基)苯胺

中華試劑網(wǎng)提醒 合成路線僅供參考