基本信息:
中文名稱 5-溴吲哚-3-乙酸
英文名稱 5-BROMOINDOLE-3-ACETIC ACID
英文別名 2-(5-Bromo-1H-indol-3-yl)acetic acid;2-(5-bromo-1H-indol-3-yl)acetic acid;5-Bromoindole-3-Acetic Acid;
CAS號 40432-84-6
合成路線:
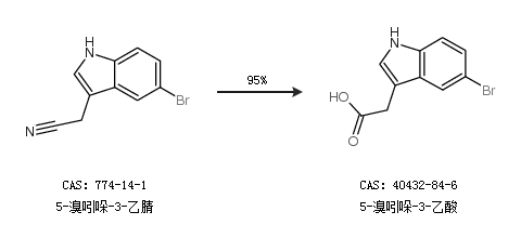
1.通過5-溴吲哚-3-乙腈合成5-溴吲哚-3-乙酸,收率約95%;

2.通過5-溴吲哚合成5-溴吲哚-3-乙酸

中華試劑網(wǎng)提醒 合成路線僅供參考