基本信息:
中文名稱 4’-去甲鬼臼毒素
中文別名 4''-去甲鬼臼毒素;
英文名稱 4''-demethylpodophyllotoxin
英文別名 4-demethylepipodophyllotoxin;4''-O-demethylpodophyllotoxin;4''-Demethylpodophyllotoxin;(5R,5aR,8aR,9R)-5-hydroxy-9-(4-hydroxy-3,5-dimethoxyphenyl)-5a,6,8a,9-tetrahydro-5H-[2]benzofuro[5,6-f][1,3]benzodioxol-8-one;
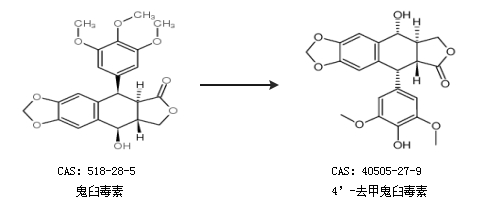
CAS號(hào) 40505-27-9
合成路線:
1.通過(guò)鬼臼毒素合成4’-去甲鬼臼毒素

中華試劑網(wǎng)提醒 合成路線僅供參考