基本信息:
中文名稱 4-(4-氯苯氧基)苯乙酮
英文名稱 1-[4-(4-Chlorophenoxy)phenyl]ethanone
英文別名 1-(4-(4-CHLOROPHENOXY)PHENYL)ETHANONE;4-p-chlorophenoxyacetophenone;
CAS號 41150-48-5
合成路線:
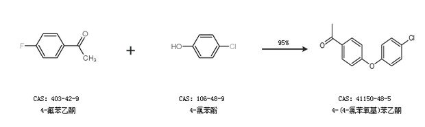
1.通過4-氟苯乙酮和4-氯苯酚合成4-(4-氯苯氧基)苯乙酮,收率約95%;

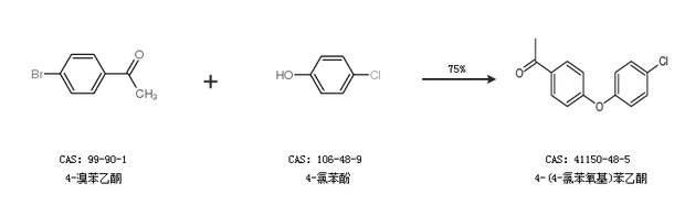
2.通過4-溴苯乙酮和4-氯苯酚合成4-(4-氯苯氧基)苯乙酮,收率約75%;

中華試劑網(wǎng)提醒 合成路線僅供參考