基本信息:
中文名稱 4-甲基-2-脲基戊酸
英文名稱 2-(carbamoylamino)-4-methylpentanoic acid
英文別名 Carbaminyl-dl-leucin;CARBAMOYL-LEU-OH;N-carbamoylleucine;4-Methyl-2-ureido-pentanoic acid;N-carbamoyl-DL-leucine;N-Carbamoyl-leucin;N-Carbamyl-L-leucine;N-Carbamoyl-dl-leucin;
CAS號 42534-05-4
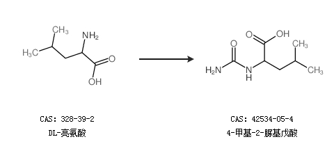
合成路線:
1.通過硝基脲和DL-亮氨酸合成4-甲基-2-脲基戊酸

2.通過DL-亮氨酸合成4-甲基-2-脲基戊酸

中華試劑網(wǎng)提醒 合成路線僅供參考