基本信息:
中文名稱 四氫-5-氧代-2-呋喃羧酸
英文名稱 5-oxooxolane-2-carboxylic acid
英文別名 5-oxotetrahydrofuran-2-carboxylic acid;Tetrahydro-5-oxo-2-furancarboxyli;2-Furancarboxylic acid,tetrahydro-5-oxo;Tetrahydro-5-oxo-2-furancarboxylic acid;R,S-5-oxo-2-tetrahydrofurancarboxylic acid;
CAS號(hào) 4344-84-7
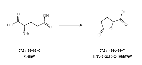
合成路線:
1.通過alpha-酮戊二酸合成四氫-5-氧代-2-呋喃羧酸,收率約51%;

2.通過谷氨酸合成四氫-5-氧代-2-呋喃羧酸

中華試劑網(wǎng)提醒 合成路線僅供參考