基本信息:
中文名稱 9,9-二蒽-10,10-9H,9H-二酮
中文別名 9,10-蒽二酮;(9,9’-二蒽)-10,10’-(9H,9’H)-二酮;(9,9''-二蒽)-10,10''-(9H,9''H)-二酮;二蒽酮基;(9,9`-二蒽)-10,10`-(9H,9`H)-二酮;
英文名稱 10-(10-oxo-9H-anthracen-9-yl)-10H-anthracen-9-one
英文別名 10,10''-Dianthronyl;10,10''-Dihydrodianthrone;<10,10''-bianthryl>-9,9''-dione;BIANTHRONYL;10,10''-Dihydrobianthrone;10,10-Bianthrone;anthranyleneanthrone;10,10''-Bianthronyl;
CAS號 434-84-4
合成路線:
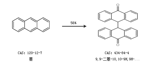
1.通過蒽合成9,9-二蒽-10,10-9H,9H-二酮,收率約56%;

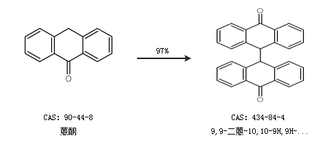
2.通過蒽酮合成9,9-二蒽-10,10-9H,9H-二酮,收率約97%;

中華試劑網(wǎng)提醒 合成路線僅供參考