基本信息:
中文名稱 5-氨基-3-苯基異噁唑
中文別名 5-氨基-3-苯基異惡唑;3-苯基-5-氨基異噁唑;
英文名稱 5-Amino-3-phenylisoxazole
英文別名 3-phenyl-1,2-oxazol-5-amine;3-PHENYL-5-ISOXAZOLAMINE;3-Phenylisoxazol-5-amine;
CAS號(hào) 4369-55-5
合成路線:
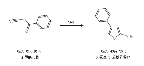
1.通過(guò)苯甲酰乙腈合成5-氨基-3-苯基異噁唑,收率約56%;

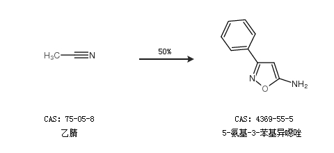
2.通過(guò)乙腈合成5-氨基-3-苯基異噁唑,收率約50%;

中華試劑網(wǎng)提醒 合成路線僅供參考