基本信息:
中文名稱 3-氨基-4-甲基-1-戊醇
英文名稱 3-amino-4-methylpentan-1-ol
英文別名 3-AMINO-4-METHYL-1-PENTANOL;3-Amino-4-methyl-pentan-1-ol;AA257;
CAS號(hào) 4379-15-1
合成路線:
1.通過(guò)3-氨基-4-甲基戊酸合成3-氨基-4-甲基-1-戊醇,收率約79%;

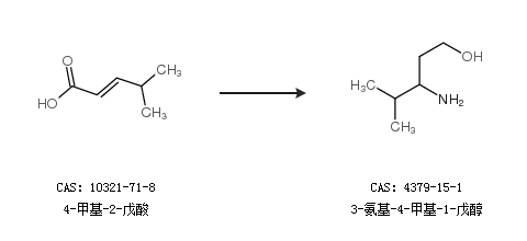
2.通過(guò)4-甲基-2-戊酸合成3-氨基-4-甲基-1-戊醇

中華試劑網(wǎng)提醒 合成路線僅供參考