基本信息:
中文名稱 5-溴吡啶-3-硼酸頻哪醇酯
中文別名 3-溴吡啶-5-硼酸頻那醇乙酯;5-溴吡啶-3-硼酸頻那醇酯;
英文名稱 3-bromo-5-(4,4,5,5-tetramethyl-1,3,2-dioxaborolan-2-yl)pyridine
英文別名 3-Bromopyridine-5-boronic acid pinacol ester;3-bromopyridin-5-ylboronic acid;5-Bromo-3-pyridineboronic acid pinacol ester;5-Bromopyridine-3-boronic acid,pinacol ester;5-Bromopyridine-3-boronic acid pinacol ester;
CAS號 452972-13-3
合成路線:
1.通過3,5-二溴吡啶和頻哪醇合成5-溴吡啶-3-硼酸頻哪醇酯,收率約73%;

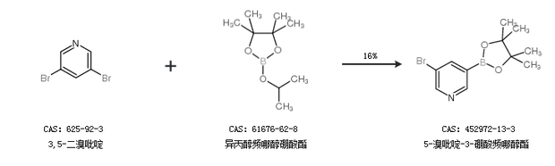
2.通過3,5-二溴吡啶和異丙醇頻哪醇硼酸酯合成5-溴吡啶-3-硼酸頻哪醇酯,收率約16%;

中華試劑網(wǎng)提醒 合成路線僅供參考