基本信息:
中文名稱 3''-氟苯乙酮
中文別名 間氟苯乙酮;1-(3-氟苯)乙酮;3-氟苯乙酮;
英文名稱 3''-Fluoroacetophenone
英文別名 3‘-Fluoroacetophenone;1-(3-fluorophenyl)ethanone;1-(3-Fluorophenyl)ethanone;3-Fluoroacetophenone;3′-Fluoroacetophenone;3’-Fluoroacetophenone;
CAS號(hào) 455-36-7
合成路線:
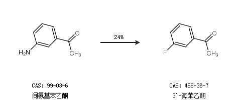
1.通過(guò)間氨基苯乙酮合成3''-氟苯乙酮,收率約24%;

2.通過(guò)1-(3-氟苯基)-1-乙醇合成3''-氟苯乙酮,收率約99%;

中華試劑網(wǎng)提醒 合成路線僅供參考