基本信息:
中文名稱 1-(3-氨丙基)-4-甲基哌嗪
中文別名 3-(N-甲基哌嗪基)丙胺;4-甲基-1-哌嗪丙胺;
英文名稱 1-(3-Aminopropyl)-4-Methylpiperazine
英文別名 1-(3-Aminopropyl)-4-methylpiperazine;3-(4-methylpiperazin-1-yl)propan-1-amine;
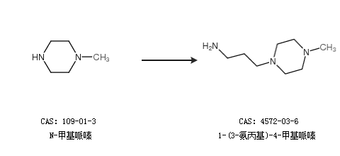
CAS號(hào) 4572-03-6
合成路線:
1.通過(guò)1-(2-氰乙基)-4-甲基哌嗪合成1-(3-氨丙基)-4-甲基哌嗪,收率約40%;

2.通過(guò)N-甲基哌嗪合成1-(3-氨丙基)-4-甲基哌嗪

中華試劑網(wǎng)提醒 合成路線僅供參考