基本信息:
中文名稱 2-(丙基氨基)吡啶
中文別名 N-丙基吡啶-2-胺;
英文名稱 N-propylpyridin-2-amine
英文別名 3-hydropropylaminopyridine;2-Pyridinamine,N-propyl;propyl-pyridin-2-yl-amine;2-propylaminopyridine;
CAS號 45815-08-5
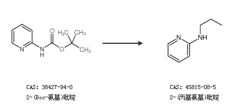
合成路線:
1.通過2-氨基吡啶合成2-(丙基氨基)吡啶

2.通過2-(Boc-氨基)吡啶合成2-(丙基氨基)吡啶

中華試劑網提醒 合成路線僅供參考