基本信息:
中文名稱 [1,1-聯(lián)苯]-4,4-二羧酰胺
英文名稱 4-(4-carbamoylphenyl)benzamide
英文別名 4,4''-Biphenyldicarboxamide;Biphenyl-4,4''-dicarbamid;[1,1''-biphenyl]-4,4''-dicarboxamide;
CAS號(hào) 46902-08-3
合成路線:
1.通過4,4''-聯(lián)苯甲腈合成[1,1-聯(lián)苯]-4,4-二羧酰胺,收率約81%;

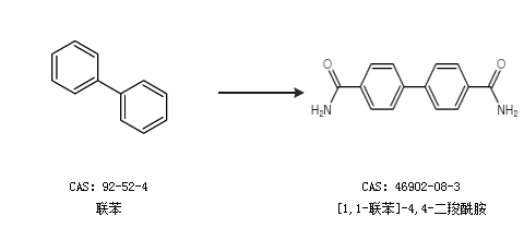
2.通過聯(lián)苯合成[1,1-聯(lián)苯]-4,4-二羧酰胺

中華試劑網(wǎng)提醒 合成路線僅供參考