基本信息:
中文名稱 9-甲醛菲
中文別名 菲-9-甲醛;菲-9-甲醛;菲-9-醛;
英文名稱 PHENANTHRENE-9-CARBOXALDEHYDE
英文別名 Phenanthrene-9-carbaldehyde;phenanthrene-9-carbaldehyde;C 16003060 Phenanthrene-9;9-Phenanthrenecarboxaldehyde;
CAS號 4707-71-5
合成路線:
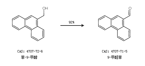
1.通過菲-9-甲醇合成9-甲醛菲,收率約92%;

2.通過9-溴菲和N,N-二甲基甲酰胺合成9-甲醛菲,收率約91%;

中華試劑網(wǎng)提醒 合成路線僅供參考