基本信息:
中文名稱 菲-9-甲醇
中文別名 9-甲醇菲;
英文名稱 phenanthren-9-ylmethanol
英文別名 9-methylhydroxy phenanthrene;phenanthrene-9-methanol;phenanthrene-9-ylmethanol;9-Phenanthrenemethanol;9-hydroxymethylphenanthrene;
CAS號 4707-72-6
合成路線:
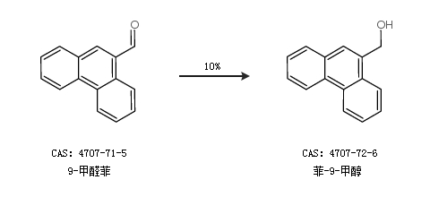
1.通過9-甲醛菲合成菲-9-甲醇,收率約10%;

2.通過甲醛和9-菲基溴化鎂合成菲-9-甲醇

中華試劑網(wǎng)提醒 合成路線僅供參考