基本信息:
中文名稱 2-巰基-6-硝基苯并噻唑
中文別名 2-疏基-6-硝基苯并噻唑;6-硝基-2-巰基苯并噻唑;
英文名稱 2-Mercapto-6-Nitrobenzothiazole
英文別名 6-Nitrobenzo[d]thiazole-2(3H)-thione;6-Nitrobenzo[d]thiazole-2-thiol;2-Mercapto-6-nitrobenzothiazole;6-Nitro-2-mercaptobenzothiazole;6-nitro-3H-1,3-benzothiazole-2-thione;
CAS號 4845-58-3
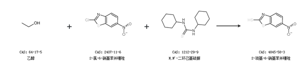
合成路線:
1.通過2-溴-4-硝基苯胺和乙基黃原酸鉀合成2-巰基-6-硝基苯并噻唑,收率約94%;

2.通過乙醇、2-氯-6-硝基苯并噻唑和N,N''-二環(huán)己基硫脲合成2-巰基-6-硝基苯并噻唑

中華試劑網提醒 合成路線僅供參考