基本信息:
中文名稱 BOC-D-2,4,5-三氟苯丙氨酸
英文名稱 (R)-2-((tert-Butoxycarbonyl)amino)-3-(2,4,5-trifluorophenyl)propanoic acid
英文別名 BOC-D-2,4,5-TRIFLUOROPHE;
CAS號(hào) 486460-09-7
合成路線:
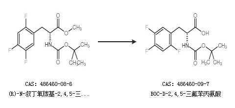
1.通過(R)-N-叔丁氧羰基-2,4,5-三氟苯胺甲酯合成BOC-D-2,4,5-三氟苯丙氨酸

2.通過2,4,5-三氟芐基溴合成BOC-D-2,4,5-三氟苯丙氨酸

中華試劑網(wǎng)提醒 合成路線僅供參考