基本信息:
中文名稱 N-(2-硝基苯基)乙醇胺
中文別名 鄰硝基苯基乙醇胺;N-(2-羥乙基)-2-硝基苯胺;2-硝基-N-羥乙基苯胺;2-硝基-N-(2-羥乙基)苯胺;N-羥乙基-2-硝基苯胺;2-(2-硝基苯氨基)乙醇;HC 黃 NO. 2;
英文名稱 2-Nitro-N-Hydroxyethyl Aniline
英文別名 2-((2-Nitrophenyl)amino)ethanol;N-(2-Nitrophenyl)ethanolamine;2-(2-Nitroanilino)ethanol;HC Yellow 2;2-(2-nitroanilino)ethanol;N-(2-Hydroxyethyl)-2-nitroaniline;
CAS號 4926-55-0
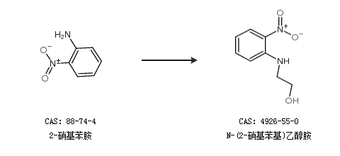
合成路線:
1.通過乙醇胺和鄰氯硝基苯合成N-(2-硝基苯基)乙醇胺,收率約97%;

2.通過2-硝基苯胺合成N-(2-硝基苯基)乙醇胺

中華試劑網(wǎng)提醒 合成路線僅供參考