基本信息:
中文名稱 3-氟-5-硝基甲苯
中文別名 3-甲基-5-氟硝基苯;
英文名稱 3-Fluoro-5-Nitrotoluene
英文別名 3-Fluoro-5-nitrotoluene;1-fluoro-3-methyl-5-nitrobenzene;1-Fluoro-3-methyl-5-nitrobenzene;
CAS號 499-08-1
合成路線:
1.通過3-甲基-5-硝基苯胺合成3-氟-5-硝基甲苯

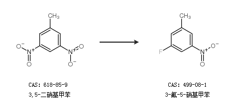
2.通過3,5-二硝基甲苯合成3-氟-5-硝基甲苯

中華試劑網提醒 合成路線僅供參考