基本信息:
中文名稱 4-甲基環(huán)己酮肟
中文別名 對甲基環(huán)己酮肟;
英文名稱 N-(4-methylcyclohexylidene)hydroxylamine
英文別名 Cyclohexanone,4-methyl-,oxime;4-metylcyclohexanone oxime;4-Methylcyclohexanone oxime;N-hydroxy-4-methylcyclohexanimine;1-Methyl-cyclohexanoxim-(4);(+-)-1-Methyl-cyclohexanon-(4)-oxim;(+-)-1-methyl-cyclohexanone-(4)-oxime;4-Methyl-cyclohexanon-oxim;
CAS號 4994-13-2
合成路線:
1.通過4-甲基環(huán)己酮合成4-甲基環(huán)己酮肟,收率約85%;

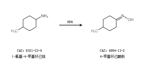
2.通過1-氨基-4-甲基環(huán)己烷合成4-甲基環(huán)己酮肟,收率約86%;

中華試劑網(wǎng)提醒 合成路線僅供參考