基本信息:
中文名稱 2-(3-硝基苯基)喹噁啉
英文名稱 2-(3-Nitrophenyl)quinoxaline
英文別名 3-(3-Nitrophenyl)-chinoxalin;nitrophenylquinoxaline;2-(3-Nitro-phenyl)-quinoxaline;2-(3-Nitrophenyl)-chinoxalin;2-(2-BENZOFURAN-2-YL-VINYL)-6-METHOXY-BENZOIC ACID METHYL ESTER;
CAS號 5021-44-3
合成路線:
1.通過1,2-苯二胺和2-溴-3''-硝基苯乙酮合成2-(3-硝基苯基)喹噁啉,收率約91%;

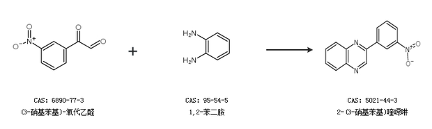
2.通過(3-硝基苯基)-氧代乙醛和1,2-苯二胺合成2-(3-硝基苯基)喹噁啉

中華試劑網(wǎng)提醒 合成路線僅供參考