基本信息:
中文名稱 2-溴-4-羥基-3-硝基苯乙酮
英文名稱 2-BROMO-4''-HYDROXY-3''-NITROACETOPHENONE
英文別名 2-broMo-1-(4-hydroxy-3-nitrophenyl)ethan-1-one;2-bromo-3-nitro-4-hydroxyacetophenone;2-bromo-1-(4-hydroxy-3-nitrophenyl)ethanone;
CAS號(hào) 5029-61-8
合成路線:
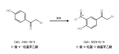
1.通過2-溴-4''-羥基苯乙酮合成2-溴-4-羥基-3-硝基苯乙酮,收率約90%;

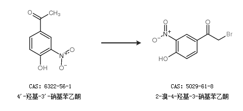
2.通過4''-羥基-3''-硝基苯乙酮合成2-溴-4-羥基-3-硝基苯乙酮

中華試劑網(wǎng)提醒 合成路線僅供參考