基本信息:
中文名稱 6-氟-2-萘甲酸甲酯
中文別名 甲基六氟-2-萘酸;
英文名稱 Methyl 6-Fluoro-2-naphthoate
英文別名 6-Fluoro-2-naphthoic Acid Methyl Ester;methyl 6-fluoronaphthalene-2-carboxylate;Methyl 6-fluoro-2-naphthoate;
CAS號(hào) 5043-00-5
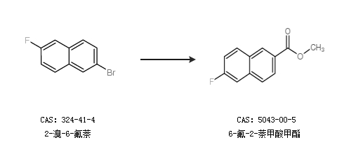
合成路線:
1.通過2-溴-6-氟萘合成6-氟-2-萘甲酸甲酯

2.通過重氮甲烷和6-氟-2-萘甲酸合成6-氟-2-萘甲酸甲酯

中華試劑網(wǎng)提醒 合成路線僅供參考