基本信息:
中文名稱 氯丙嗪
中文別名 3-(2-氯-10H-吩噻嗪-10-基)-N,N-二甲基丙-1-胺;
英文名稱 chlorpromazine
英文別名 Contomin;Chlor-PZ;Esmind;Aminazin;Prozin;chloropromazine;2601-A;Elmarin;HL 5746;Hibanil;Prazil;Chlorpromazine;
CAS號(hào) 50-53-3
合成路線:
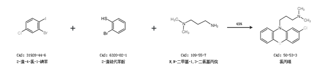
1.通過2-溴-4-氯-1-碘苯、2-溴硫代苯酚和N,N-二甲基-1,3-二氨基丙烷合成氯丙嗪,收率約49%;

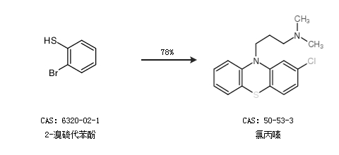
2.通過2-溴硫代苯酚合成氯丙嗪,收率約78%;

中華試劑網(wǎng)提醒 合成路線僅供參考