基本信息:
中文名稱 二(對硝基苯)碳酸酯
中文別名 4-硝基苯基碳酸酯;硝苯基碳酸鹽;雙(4-硝基苯基)碳酸酯;雙(對硝基苯)碳酸酯;雙(對硝基苯)碳酸酯;碳酸雙(4-硝基苯基)酯;二(對硝基苯基)碳酸酯;雙(4-硝基苯)碳酸酯;
英文名稱 BIS(4-NITROPHENYL) CARBONATE
英文別名 bis-(nitrophenyl) carbonate;BIS(P-NITROPHENYL) CARBONATE;Carbonic Acid Bis(4-nitrophenyl) Ester;p,p''-Dinitrodiphenylcarbonate;4-NITROPHENYL CARBONATE;NPC [Bis(4-nitrophenyl)carbonate];bis-PNP carbonate;Bis(4-nitrophenyl)carbonate;4-4''-DINITRODIPHENYL CARBONATE;BIS(4-NITROPHENYL) C;NPC;para-nitrophenyl carbonate;Bis(4-nitrophenyl) Carbonate;
CAS號 5070-13-3
合成路線:
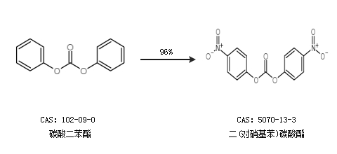
1.通過碳酸二苯酯合成二(對硝基苯)碳酸酯,收率約96%;

2.通過4-硝基苯酚和二(三氯甲基)碳酸酯合成二(對硝基苯)碳酸酯,收率約91%;

中華試劑網(wǎng)提醒 合成路線僅供參考