基本信息:
中文名稱 4-碘苯基乙腈,
中文別名 4-碘苯乙腈;對碘苯乙腈;4-碘苯基乙腈;
英文名稱 4-IODOPHENYLACETONITRILE
英文別名 2-(4-Iodophenyl)acetonitrile;2-(4-iodophenyl)acetonitrile;4-Iodophenylacetonitrile;
CAS號 51628-12-7
合成路線:
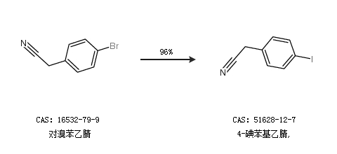
1.通過對溴苯乙腈合成4-碘苯基乙腈,,收率約96%;

2.通過4-碘甲苯合成4-碘苯基乙腈,,收率約69%;

中華試劑網(wǎng)提醒 合成路線僅供參考