基本信息:
中文名稱 4,4-(2,2-二甲基丙烷-1,1-二基)二苯酚
英文名稱 4-[1-(4-hydroxyphenyl)-2,2-dimethylpropyl]phenol
英文別名 Phenol,4,4''-(2,2-dimethylpropylidene)bis;4,4''-(2,2-dimethylpropane-1,1-diyl)diphenol;
CAS號 52173-65-6
合成路線:
1.通過特戊醛和苯酚合成4,4-(2,2-二甲基丙烷-1,1-二基)二苯酚

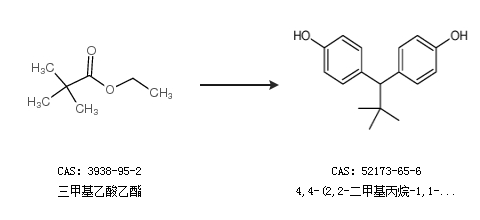
2.通過三甲基乙酸乙酯合成4,4-(2,2-二甲基丙烷-1,1-二基)二苯酚

中華試劑網(wǎng)提醒 合成路線僅供參考