基本信息:
中文名稱 2-氯-N,N-二甲基煙酰胺
中文別名 2-氯-N,N-二甲基-3-吡啶甲酰胺;
英文名稱 2-Chloro-N,N-dimethylnicotinamide
英文別名 2-chloro-N,N-dimethylpyridine-3-carboxamide;
CAS號 52943-21-2
合成路線:
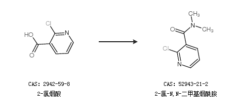
1.通過2-氯煙酸合成2-氯-N,N-二甲基煙酰胺

2.通過2-氯煙酰氯和二甲胺合成2-氯-N,N-二甲基煙酰胺,收率約86%;

中華試劑網(wǎng)提醒 合成路線僅供參考