基本信息:
中文名稱(chēng) 2,2'',4,4''-四溴聯(lián)苯醚
中文別名 四溴聯(lián)苯醚;2,2'',4,4''-四溴二苯醚
英文名稱(chēng) 2,2’,4,4''-Tetrabromodiphenyl Ether
英文別名 2,2'',4,4''-TetraBDE;2,4-dibromo-1-(2,4-dibromophenoxy)benzene;BDE-47
CAS號(hào) 5436-43-1
合成路線:
1.通過(guò)2,2-二溴聯(lián)苯醚合成2,2'',4,4''-四溴聯(lián)苯醚,收率約86%;

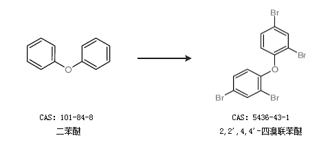
2.通過(guò)二苯醚合成2,2'',4,4''-四溴聯(lián)苯醚

中華試劑網(wǎng)提醒 合成路線僅供參考