基本信息:
中文名稱 硝酸異戊酯
中文別名 硝基異戊酯;3-甲基-1-丁醇硝酸酯;硝酸-1-甲基丁酯;
英文名稱 3-methylbutyl nitrate
英文別名 isoamyl nitrate;2-methyl-4-nitrooxybutane;ISOPENTYL ALCOHOL,NITRATE;1-Butanol,3-methyl-,nitrate;3-Methyl-1-butanol nitrate;3-methyl-1-butyl nitrate;Nitrito d''amile [Italian];Isopentyl nitrate;
CAS號 543-87-3
合成路線:
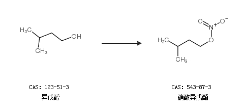
1.通過異戊醇合成硝酸異戊酯

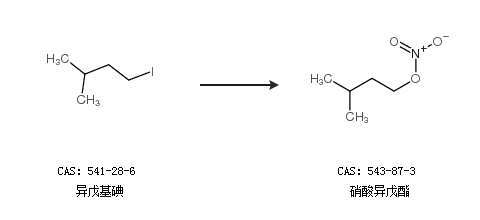
2.通過異戊基碘合成硝酸異戊酯

中華試劑網(wǎng)提醒 合成路線僅供參考