基本信息:
中文名稱 DL-2,4-二氯苯丙氨酸
中文別名 2,4-二氯苯丙氨酸;2,4-二氯-dl-苯丙氨酸;4-二氯苯丙氨酸;
英文名稱 2-amino-3-(2,4-dichlorophenyl)propanoic acid
英文別名 BOC-D-2;BOC-2;2,4-diCl-Phe;2,4-Dichloro-DL-phenylalanine;2,4-dichloro-phenylalanine;D,L 2,4-dichlorophenylalanine;2,4-Dichlor-phenylalanin;4-Dichloro-DL-phenylalanine;DL-3-(2,4-Dichlorophenyl)alanine;rac-2,4-dichloro-Phe;
CAS號(hào) 5472-68-4
合成路線:
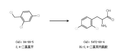
1.通過(guò)2,4-二氯氯芐合成DL-2,4-二氯苯丙氨酸

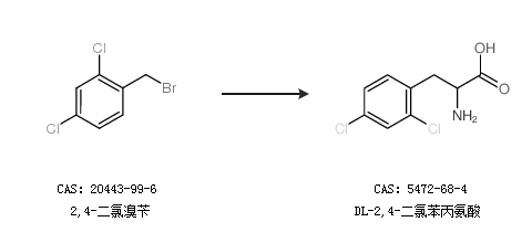
2.通過(guò)2,4-二氯溴芐合成DL-2,4-二氯苯丙氨酸

中華試劑網(wǎng)提醒 合成路線僅供參考