基本信息:
中文名稱 N,N-二甲基-3-哌啶羧酰胺
中文別名 N,N-二甲基哌啶-3-甲酰胺;
英文名稱 N,N-dimethylpiperidine-3-carboxamide
英文別名 N,N-dimethyl-3-piperidinecarboxamide;3-Piperidinecarboxamide,N,N-dimethyl;3-(dimethylcarbamoyl)piperidine;piperidine-3-carboxylic acid dimethylamide;N,N-Dimethyl-nipecotamid;(piperidin-3-yl)carboxylic acid dimethylamide;
CAS號 5505-20-4
合成路線:
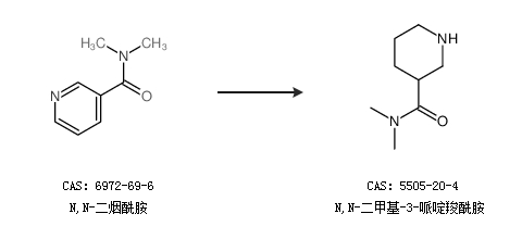
1.通過N,N-二煙酰胺合成N,N-二甲基-3-哌啶羧酰胺

中華試劑網(wǎng)提醒 合成路線僅供參考