基本信息:
中文名稱 2’-O-甲基-5-甲基尿苷
中文別名 5-甲基-2''-甲氧基尿苷;5-甲基-2''-氧甲基尿苷;2''-O-甲基-5-甲基尿苷;
英文名稱 2''-O-methyl-5-methyluridine
英文別名 5-Me-2''-OMe Uridine;2''-O-METHYLRIBOTHYMIDINE;2''-O-methyl-5-methylUrd;1-[(2r,3r,4r,5r)-4-hydroxy-5-(hydroxymethyl)-3-methoxyoxolan-2-yl]-5-methylpyrimidine-2,4-dione;5,2''-O-Dimethyluridine;2''-O-Methyl-5-methyluridine 4518;2-methoxy-5-methyluridine;5-METHY-5-METHYLURIDINE;5-Me-2''-OMe-U;5-METHYL-2''-O-METHYLURIDINE;2''-O,5-dimethyluridine;
CAS號 55486-09-4
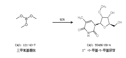
合成路線:
1.通過三甲氧基硼烷合成2’-O-甲基-5-甲基尿苷,收率約92%;

2.通過DMT-2''-甲氧基-5-甲基尿苷合成2’-O-甲基-5-甲基尿苷,收率約38%;

中華試劑網(wǎng)提醒 合成路線僅供參考