基本信息:
中文名稱 2-氯-N-(2,4-二氯芐基)乙酰胺
英文名稱 2-chloro-N-[(2,4-dichlorophenyl)methyl]acetamide
英文別名 N-Chloraceto-2,4-dichlor-benzylamin;chloro-acetic acid-(2,4-dichloro-benzylamide);2-CHLORO-N-(2,4-DICHLORO-BENZYL)-ACETAMIDE;N-(2,4-dichlorobenzyl)-2-chloroacetamide;2-chloro-N-[(2,4-dichlorophenyl)methyl]-acetamide;T0514-5090;N-(2,4-Dichlorobenzyl) chloroacetamide;Chlor-essigsaeure-(2,4-dichlor-benzylamid);
CAS號 56978-45-1
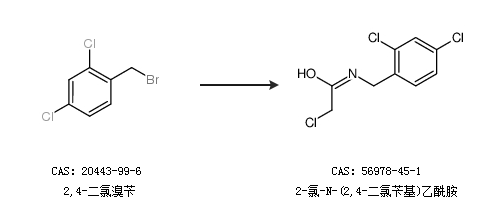
合成路線:
1.通過一氯代乙酰氯和2,4-二氯苯甲胺合成2-氯-N-(2,4-二氯芐基)乙酰胺,收率約88%;

2.通過2,4-二氯溴芐合成2-氯-N-(2,4-二氯芐基)乙酰胺

中華試劑網(wǎng)提醒 合成路線僅供參考