基本信息:
中文名稱 3-氨基-4-甲基戊酸
中文別名 DL-β-Leucine;DL-β-亮氨酸;
英文名稱 (3R)-β-leucine
英文別名 (3R)-beta-leucine;3-Amino-4-methyl-pentanoic acid;3-amino-4-methyl-valeric acid;3-AMINO-4-METHYLPENTANOIC ACID;Pentanoic acid,3-amino-4-methyl;
CAS號(hào) 5699-54-7
合成路線:
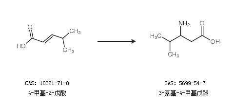
1.通過(guò)4-甲基-2-戊酸合成3-氨基-4-甲基戊酸

中華試劑網(wǎng)提醒 合成路線僅供參考