基本信息:
中文名稱 環(huán)(甘氨酰-L-亮氨酰)
中文別名 CYCLO(-GLY-LEU);
英文名稱 CYCLO(-LEU-GLY)
英文別名 MORPHIN,TOLERANCE PEPTIDE;MORPHINE TOLERANCE PEPTIDE;Cyclo(Leu-Gly);3-isobutylpiperazine-2,5-quinone;L-Leucylglycine diketopiperazine;
CAS號(hào) 5845-67-0
合成路線:
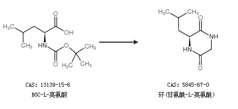
1.通過(guò)BOC-L-亮氨酸合成環(huán)(甘氨酰-L-亮氨酰)

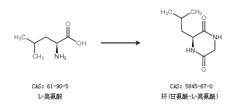
2.通過(guò)L-亮氨酸合成環(huán)(甘氨酰-L-亮氨酰)

中華試劑網(wǎng)提醒 合成路線僅供參考