基本信息:
中文名稱 (9CI)-4,5,6,7-四氫-噻吩并[2,3-c]吡啶-4-醇
英文名稱 4,5,6,7-Tetrahydrothieno[2,3-c]pyridin-4-ol
英文別名 4'',5'',6'',7''-Tetrahydro-spiro[cyclohexan-1,1''-inden]-3''-on;4'',5'',6'',7''-tetrahydrospiro[cyclohexane-1,1''-inden]-3''(2''h)-one;4,5,6,7-tetrahydro-thieno[2,3-c]pyridin-4-ol;4-hydroxy-4,5,6,7-tetrahydro-thieno[2,3-c]-pyridine;4'',5'',6'',7''-tetrahydrospiro<cyclohexan-1,1''-inden>-3-one;4'',5'',6'',7''-tetrahydro-spiro[cyclohexane-1,1''-inden]-3''-one;
CAS號 59038-47-0
合成路線:
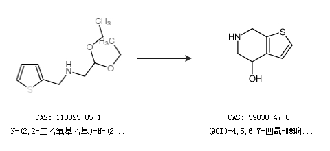
1.通過N-(2,2-二乙氧基乙基)-N-(2-噻吩甲基)甲胺合成(9CI)-4,5,6,7-四氫-噻吩并[2,3-c]吡啶-4-醇

2.通過2-噻吩甲醛合成(9CI)-4,5,6,7-四氫-噻吩并[2,3-c]吡啶-4-醇

中華試劑網(wǎng)提醒 合成路線僅供參考