基本信息:
中文名稱 6-氯-2-喹啉羧醛
英文名稱 6-chloroquinoline-2-carbaldehyde
英文別名 6-Chlor-chinolin-2-carbaldehyd;6-chloro-2-quinolinecarbaldehyde;6-chloro-quinoline-2-carbaldehyde;
CAS號 59394-26-2
合成路線:
1.通過6-氯-2-甲基喹啉合成6-氯-2-喹啉羧醛,收率約98%;

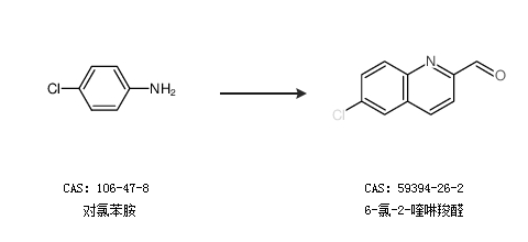
2.通過對氯苯胺合成6-氯-2-喹啉羧醛

中華試劑網(wǎng)提醒 合成路線僅供參考