基本信息:
中文名稱 (1-嘧啶-4--哌啶-4-基)-氨基甲酸叔丁酯
英文名稱 tert-butyl N-(1-pyrimidin-4-ylpiperidin-4-yl)carbamate
英文別名 (1-Pyrimidin-4-yl-piperidin-4-yl)-carbamic acid tert-butyl ester;Carbamic acid,[1-(4-pyrimidinyl)-4-piperidinyl]-,1,1-dimethylethyl ester (9CI);
CAS號 596817-39-9
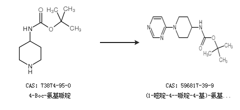
合成路線:
1.通過[1-(2-氯-嘧啶-4-基)-哌啶-4-基]-氨基甲酸叔丁酯合成(1-嘧啶-4--哌啶-4-基)-氨基甲酸叔丁酯

2.通過4-Boc-氨基哌啶合成(1-嘧啶-4--哌啶-4-基)-氨基甲酸叔丁酯

中華試劑網(wǎng)提醒 合成路線僅供參考